-
-
-
Tổng tiền thanh toán:
-
So sánh mặt bích rỗng, đặc PN10, PN16, PN20: Chọn loại nào phù hợp | Tiêu chuẩn mặt bích rỗng, đặc Thép Mạnh Hải
Đăng bởi: Thép Mạnh Hải |
15/11/2024
- Giới thiệu:
- Mặt bích rỗng, đặc là những chi tiết không thể thiếu trong các hệ thống đường ống, giúp kết nối các đoạn ống, van, bơm... với nhau.
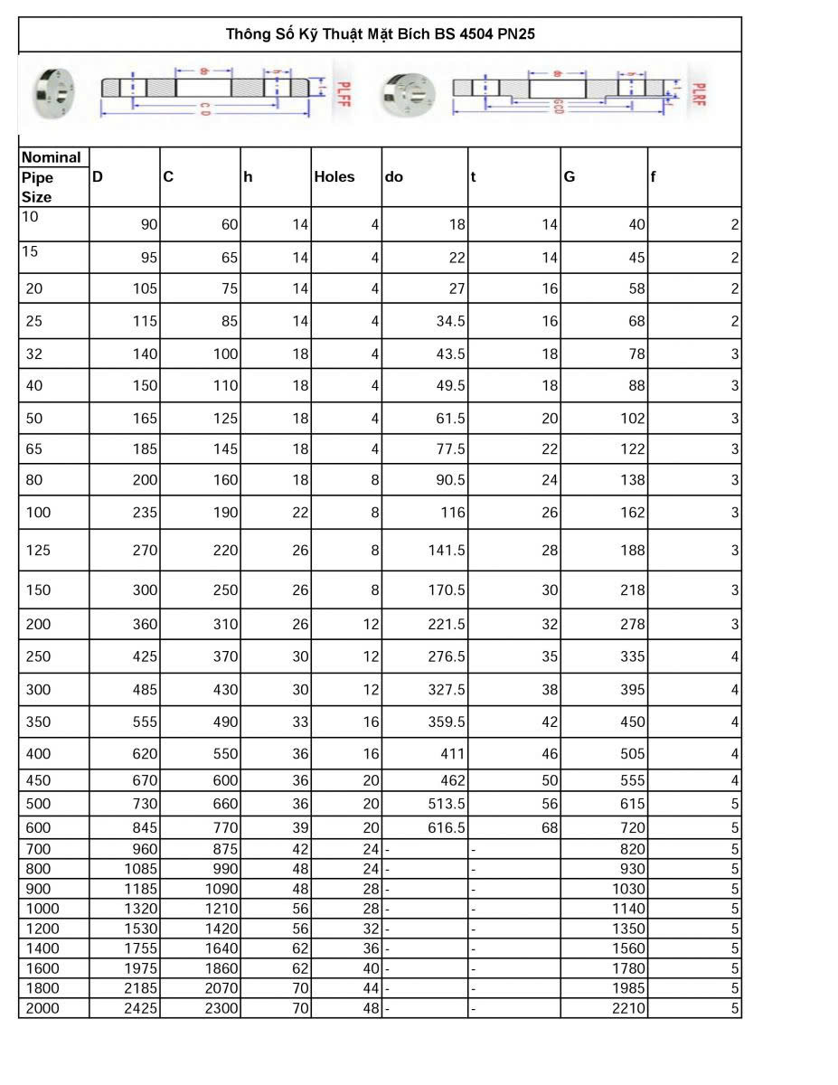
- Tiêu chuẩn PN10, PN16, PN25 thể hiện áp suất làm việc tối đa mà mặt bích có thể chịu được.

- So sánh chi tiết:
- PN10: Thường được sử dụng trong các hệ thống có áp suất làm việc thấp đến trung bình, như hệ thống cấp nước sinh hoạt, hệ thống tưới tiêu...
-
- PN16: Phổ biến hơn, ứng dụng trong nhiều hệ thống công nghiệp, như hệ thống hơi nước, hệ thống dầu khí...
- PN25: Dành cho các hệ thống có yêu cầu về áp suất làm việc cao, như hệ thống thủy lực, hệ thống hóa chất...



- Ưu nhược điểm:
- PN10: Giá thành rẻ, dễ gia công nhưng chịu áp lực thấp.
- PN16: Đa dạng ứng dụng, nhưng giá thành cao hơn PN10.
- PN25: Chịu áp lực cao nhưng giá thành cao nhất, ứng dụng hạn chế.

- Hướng dẫn chọn tiêu chuẩn phù hợp:
- Cần xem xét áp suất làm việc của hệ thống, chất lỏng truyền tải, môi trường làm việc (nhiệt độ, độ ăn mòn)... để chọn loại mặt bích phù hợp.

Tại sao nên chọn hàng hoá tại Công ty TNHH Sản Xuất và Thương Mại Thép Mạnh Hải?
- Chất lượng đảm bảo: Sản phẩm được nhập khẩu trực tiếp từ các nhà máy uy tín tại Trung Quốc.
- Đa dạng kích thước: Phù hợp với mọi nhu cầu của khách hàng.
- Giá cả cạnh tranh: Chúng tôi cam kết mang đến cho khách hàng mức giá tốt nhất trên thị trường.
- Giao hàng nhanh chóng: Đáp ứng mọi đơn hàng trong thời gian ngắn nhất.
- Dịch vụ chuyên nghiệp: Đội ngũ nhân viên tư vấn nhiệt tình, hỗ trợ khách hàng 24/7.
Để biết thêm thông tin chi tiết về sản phẩm và báo giá, quý khách vui lòng liên hệ:
- Hotline: 0969 816 326 - 0968 410 236
- Website: https://thepmanhhai.com/
Hãy liên hệ với chúng tôi ngay hôm nay để được tư vấn và báo giá tốt nhất!
XEM THÊM:
**** SẢN PHẨM THÉP HÌNH CÁC LOẠI
**** SẢN PHẨM THÉP ỐNG, HỘP CÁC LOẠI
**** SẢN PHẨM VAN CÔNG NGHIỆP
![]()
![]()
THÉP MẠNH HẢI hân hạnh chào đón, phục vụ và hợp tác cùng Quý Khách hàng

